Y. Shmedro
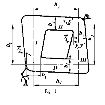
Der Apparat - die geschlossene Kontur, bestehend aus zwei senkrechten
und zwei horizontalen Kanälen. Die Kanäle bläst man in der querlöfenden
Richtung aus.
Die Kontur begeht die Schwingungsbewegung in Beziehung zu dem Punkt
Aufhangung. Das prinzipielle Schema (fig.1) mit den Erklärungen
wird beigefugt.
Die Annahmen:
- die Gleichmaßigkeit der Einteilung der Kugeln in der Kontur;
- die Bewegung der Schicht ist gleichartig;
- die Lebensweise ist gleichartig.
Wir werden für die Analyse die Hydrodynamiksanalogie verwenden.
Wir werden querüber den Kanal der Kontur den elementaren Umfang
wählen und die Bemühungen, die auf ihn handeln, untersuchen:
wo dPd - die Kraft der Trägheit der transportablen
Bewegung;
dPn - die Kraft der Trägheit der relativen Bewegung
;
dPc - die Kraft der Festigkeit der relativen
Bewegung.
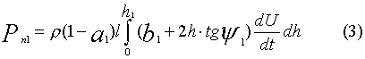
Dann für den Hebekanal


wo l - die quer verlaufende Größe der Kontur;
h - die aktuelle Koordinate auf der krummen Achse, wird von den
mittleren Linien der Kanäle der Kontur gebildet;
p - die Dichte der Schicht;
a1 - die effektive Großporigkeit der Schicht;
Vy - die senkrechte Komponente der Geschwindigkeiten
der Schwingung des Elementes der Kontur.

wo U - die Geschwindigkeit der relativen Bewegung der Schicht ist.
Aus der Bedingung der Beständigkeit des Aufwandes nach der Kontur
für die Kanäle I und III folgt

dann

wo f - der Koeffizient der Reibung im Kanal;
Vx - die horizontale Komponente der
Geschwindigkeiten der Schwingung des Elementes der Kontur;
U0 - die Geschwindigkeit der relativen Bewegung der
Schicht im engen Schnitt des Kanals.
Die Kraft Pc1 wird als eine Veränderung der
Geschwindigkeit Vx, als auch das Vorhandensein der
Keilskraft in der Schicht der Kugeln unter der Aktion der axialen
Kraft [2] definiert, wobei die Form des Kanals, die Bedingungen der Reibung
und mittlere Großporigkeit nach dem Umfang der Kontur werden in den
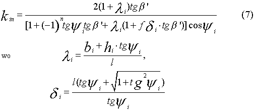
Koeffizienten kin berücksichtigt (i=1-4 - Nummer der
Kanäle, n=0-2: 0 - die Kanäle mit dem konstanten Schnitt nach dem
Lauf der Bewegung der Schicht; 1 - die ausgedehnten Kanäle, 2 - die
verengende Kanäle);
wo ß' - der effektive Winkel der Lebemweise der Kugeln in der Schicht;

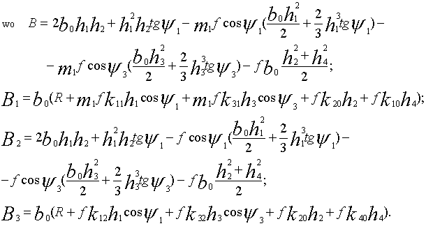
Da bei der Bewegung der Schicht zur Seite der Erweiterung des Kanäles geschieht eine Loslöosung der Kugeln von den Wänden des Kanales, so der effektive Wert des Koeffizientes der Reibung soll sich verringern. Wir werden es im Koeffizient m1 berücksichtigen, die numerische Größe, dessen ist weniger 1 und wird bei der Analyse der experimentalen Daten präzisieren. Dann, verwendend das Prinzip der Superposition für die Bemühungen, handelnden in allen Kanälen der Kontur, und übernehmend die Festigkeit die Wendung klein, werden wir die Beziehung bilden

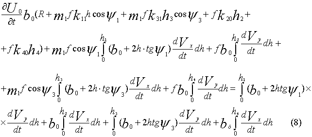
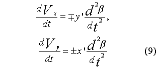
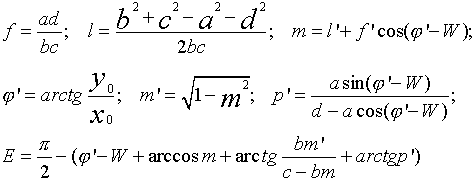
wo R- das Perimeter der Kontur nach den mittleren Linien der Kanäle. Die aufgeführte Beziehung entspricht dem Fall der Bewegung der Schicht in der Richtung der mittlere Umstellung (im Uhrzeigersinn). Für den Fall der rückgängigen Bewegung notwendig es die Koeffiziente k11 und k31 auf k12 und k32 entsprechend zu ersetzen. Für die Feststellung der Verbindung zwischen den Beschleunigungen und den geometrischen Charakteristiken der Kontur werden wir im Zentrum der Schwingung der Kontur die Anfange zwei Koordinatensysteme unterbringen. Erste ist (xoy) - bewegungsunfähig, und zweite (x'oy ') - ist mit von der Kontur verbunden (Fig. 1). Die Achse beider Systeme stimmen in der Anfangslage überein. Dann die Beschleunigung:

wo ß- der Winkel der Abweichung eines beliebigen Punktes der Kontur von der neutralen Lage in den Moment der Zeit t

wo w1 - die Winkelgeschwindigkeit des Kurbels,
W=w1 t - der Winkel der Wendung des Kurbels,

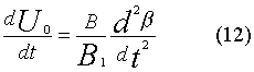
Die linear- und Winkelcharakteristiken des Antrieb sind auf der Fig.2 aufgeführt. Ersetzt (9) in (8) und erledigt die Transformationen, werden wir bekommen

und für die Bewegung in entgegengesetzter Richtung


Ein Beschluß der Gleichungen (12) und (13) wird

wir werden bekommen

Die Geschwindigkeit der Umstellung der Schicht durchschnittlich für ganze Periode der Schwingung der Kontur wird sich wie die Differenz der mittlere nach der Zeit Größen nach den Formelen (16) und (17) gefunden

Die Ergebnisse der Rechnung Uo sind für eine
Bedeutung m1, wann ß', f, w1, a
wurden in die Qualität der Parameter übernommen, auf der Fig. 3
vorgestellt.
Bei der Analyse wurde festgestellt, daß mit der Zunahme m1
die Verkleinerung der Geschwindigkeiten der Bewegung
vorhanden ist.
Das antwortet dem übernommenen physischen Modell. Die Geschwindigkeit
Uo tauscht das Zeichen, wenn m1
= 0.8-1.0. Die Bewegung wird umgeworfen.